荧光是物质吸收特定波长的光后,在极短时间内发射出更长波长光的发光现象。这一特性使荧光材料在生物标记、环境检测、光电器件等领域具有广泛应用。通过测试荧光光谱,我们能够获得物质的激发/发射特性、量子效率等关键参数,为材料设计和应用提供重要依据。
荧光光谱分为稳态和瞬态荧光光谱,目前针对稳态、瞬态荧光分析,主流的包括稳态荧光光谱仪、瞬态荧光光谱仪、稳态瞬态荧光光谱仪,稳态瞬态荧光光谱仪将前两者集成在一台设备中,既可以进行稳态(荧光光谱)测试,也可以进行瞬态(荧光寿命)测试。
一、什么是稳态/瞬态荧光光谱?
稳态荧光光谱主要研究物质在连续光源照射下的荧光信号,检测荧光信号/强度(y)是波长(x)的函数。
荧光发射光谱是激发波长固定,扫描发射波长范围,得到荧光强度与发射波长的曲线;
荧光激发光谱是发射波长固定,改变激发波长,通过扫描激发波长范围,得到荧光强度与发射波长的曲线。
稳态光源一般是光谱及能量连续输出的氙灯,常用的稳态荧光光谱曲线包括:激发光谱,发射光谱,同步光谱,三维荧光光谱、量子产率等。
瞬态荧光光谱主要研究物质在脉冲光源照射后,荧光信号/强度随时间的变化,一般检测的荧光信号/强度(y)是时间(x)的函数。
瞬态荧光光谱又称荧光寿命曲线,利用合适的激光器,测定某一波长下的荧光强度随时间的分布的光谱图,再通过指数拟合得到待测物的荧光寿命,从时域层面观察物质被激发后的光子特性。根据样品本身的不同特性,其寿命分布可以从飞秒,皮秒,纳秒,甚至到微秒量级。
瞬态光源主要有皮秒脉冲闪光器,纳秒灯,微秒灯等,常用的瞬态荧光光谱曲线包括:荧光衰减寿命曲线、磷光衰减寿命曲线、时间分辨激发/发射光谱等。
二、常见测试项目
2.1 激发与发射光谱
激发光谱(Photoluminescence Excitation Spectra,PLE)反映了某一固定的发射波长下所测量的荧光强度对激发波长的依赖关系;发射光谱(Photoluminescence spectra, PL)反映了某一固定激发波长下所测量的荧光的波长分布。激发光谱与发射光谱之间有波长差,一般发射光谱波长比激发光谱波长长,发射光谱的形状与激发波长无关。

图1.蒽的激发光谱(蓝色)和发射光谱(绿色)
2.2 同步荧光光谱
同步荧光光谱(Synchronous FLuorecece Spectra,SFS)是使激发波长与发射波长保持固定的波长间距,同时扫描激发单色器和发射单色器波长,由测得的荧光强度信号对发射或激发波长作图。
同步光谱与激发光谱及发射光谱都有关系,它同时利用了化合物的吸收特性和发射特性,因而使光谱分析的选择性得到改善,同步荧光光谱可以把强带增强而减小弱带的干扰,因此可消除瑞利散射干扰,使拉曼强度降低且拉宽。非常适合多组分混合物的分析。

图2.同步光谱示意图

图3.蒽同步荧光光谱(红色为以同步荧光光谱测试结果,Δλ=3nm)
2.3 三维荧光光谱
三维荧光光谱(Excitation-Emission-Matrix Spectra, 简称EEMs)也称为激发-发射矩阵光谱,可快速同步扫描激发波长和发射波长,获取样品的荧光强度 。区别于激发/发射光谱等二维荧光光谱,三维荧光光谱能同时扫描并改变激发和发射波长,同步记录的荧光强度变化关系为二元函数,能更为全面、准确地表征待测物质的荧光特性。
相比于单一激发光谱或者发射光谱,三维荧光光谱包含的信息全面而丰富,可完整描述荧光物质的特征信息,比如:荧光峰位置、荧光强度、荧光积分面积等,它适用于复杂有机物定性及定量分析。三维荧光光谱技术灵敏度高、选择性强、荧光信息丰富。其具有完整的光谱信息,是很有价值的光谱指纹技术。


图4.三维荧光光谱之三维投影图(上)和等高线图(下)
2.4 量子产率
量子产率(Quantum Yield, QY)表示物质发生荧光的能力,数值在0~1之间,反映荧光辐射与其他辐射和非辐射跃迁竞争的结果,具体可分为内量子产率和外量子产率,积分球法目前是使用的最为广泛的测试内量子产率的手段。
内量子产率:产生的光子数与样品吸收的光子数之比;
外量子产率:产生的光子数与所有入射的光子数之比。
按照定义,内量子效率乘以吸收系数等于外量子效率,吸收系数小于1,因此内量子产率高于外量子产率。由定义可知,因为和材料吸收相关,所以内量子产率不等同于发射谱强度,样品荧光强、测发射谱时强度高不代表测产率时产率也高。
采用积分球法测量子产率时,用积分球将所有散射光、发射光收集,先后测试样品和参比样两条曲线;参比样测试曲线中,激发光照射到参比样,获得激发光谱,即总光子数;然后在样品容器中放入样品,同样条件下,激发光照射获得未吸收光子数和发射光子数。

图5.罗丹明B荧光量子产率
(如图所示,EmScan1为参比样,EmScan2为样品,通过发射光子(红色区域)和吸收光子数(蓝色区域)的比值,计算出量子产率。)
2.5 荧光寿命
荧光寿命( Fluorescence Lifetime)是指在激发光停止照射后,荧光强度降到激发时最大强度的1/e所需的时间。用来表征荧光物质的S1激发态的平均寿命。

图6.罗丹明B荧光寿命(蓝色为罗丹明B寿命数据,红色为仪器响应函数)
2.6 时间分辨荧光光谱(TRES)
时间分辨瞬态荧光光谱(Time-Resolved EmissionSpectroscopy,TRES)是一种研究分子激发态衰变过程及其规律的光谱技术,具有高灵敏度、高分辨率和高时间分辨率等优点,可以用于研究分子激发态的能级结构、能量转移和动力学过程。主要通过探测荧光寿命衰减曲线来获取分子激发态的寿命信息,以及通过测量不同延迟时间的荧光光谱来获取激发态的能量转移和动力学信息。


图7.TRES光谱图(上)以及0~1000ms切谱图(下)
2.7 其它
磷光/延迟荧光光谱:通过带有门控功能的PMT检测器,配合脉冲光源,选择门控延迟时间做到延迟检测,将磷光、延迟荧光与荧光分离。

图8.荧光光谱图(蓝色)以及磷光光谱图(绿色)
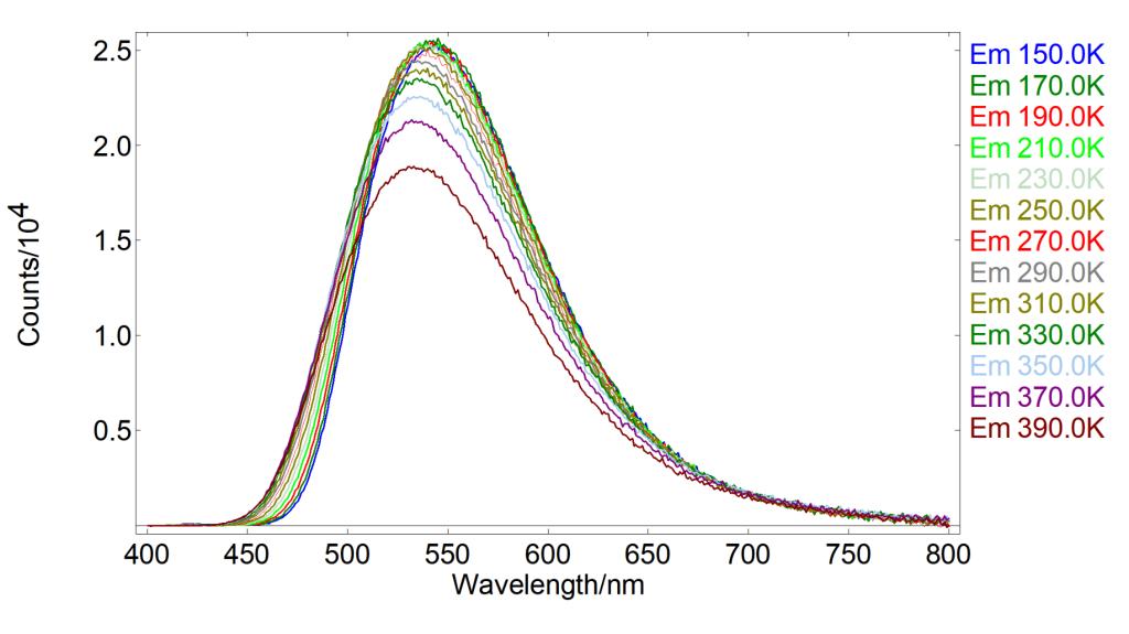
变温光谱:很多发光材料诸如钙钛矿、金属纳米团簇、MOF、有机分子组装体、高聚物等的荧光性质可以随着温度改变,表现出温度敏感性,测试不同温度下的荧光光谱是表征温度敏感型发光材料性能的重要手段,利用变温附件,实现在不同温度下材料的荧光光谱和荧光寿命测试。

图9. 150-390k温度范围内荧光光谱图
上转换荧光光谱:上转换发光(Upconversion Fluorescence)又称为反-斯托克斯发光,是指材料在长波长激发下,可持续发射波长比激发波长短的光。测试常用光源有808 nm、980 nm激光器。上转换材料主要是稀土元素掺杂的固体化合物,利用稀土元素的亚稳态特性,可以吸收多个低能量的长波辐射,从而让人肉眼不可见的近红外光转化为可见光。

图10. 980nm激光器测试上转换荧光光谱图
显微荧光光谱及寿命:传统荧光光谱仪测量的是样品上一个较大光斑(通常是毫米级)内无数分子的平均信号,而将显微镜与荧光光谱仪进行耦合,则将测量点缩小至微米尺度,并能同时获取该点的稳态(光谱、强度)和瞬态(寿命)信息,直接将样品的微观形貌图像与光谱/寿命数据关联起来。

图11 a-c分别为Alexa Fluor®488标记的丝状肌动蛋白、MitoTracker®Red CMXRos标记的线粒体和DAPI标记的细胞核的单独宽场荧光图像。然后将这些单独的图像进行组合,形成如图d所示的复合图像,显示出完整的细胞结构

图12 DAPI发射光谱

图13 DAPI荧光寿命
三、应用领域
荧光光谱已应用于众多领域,特别是需要无损、显微、化学分析、成像分析的场合。无论是需要定性还是定量的数据,荧光分析都能快速、简便地提供重要信息。

四、中心目前现有设备

图14 稳态瞬态荧光光谱仪(爱丁堡,FLS1000)

图15 稳态瞬态荧光光谱仪(爱丁堡,FLS980)

图16 绝对量子产率测试仪(滨松,C13534-31)
具体配置对比如下:
核心部件及测试项目 |
爱丁堡FLS980 |
爱丁堡FLS1000 |
滨松C13534-31 |
光源 |
稳态氙灯 |
450W |
450W |
150W |
脉冲氙灯(微秒灯) |
60W(200~1000nm) |
60W(200~1000nm) |
/ |
皮秒脉冲激光二极管 |
265nm、375nm、450nm(20MHz-20KHz) |
300nm、375nm、405nm、510nm、600nm、670nm(20MHz-20KHz) |
360nm、405nm |
上转换光源 |
808nm、980nm |
808nm、980nm |
808nm、980nm、1064nm |
检测器 |
RED-PMT |
185~900nm |
185~900nm |
/ |
NIR-PMT |
300~1700nm |
300~1700nm |
/ |
InGaAs+示波器 |
/ |
900~2100nm |
/ |
CCD |
/ |
/ |
300-1650nm |
低温附件(可进行变温测试) |
77K-500K |
77K-500K |
液体:77K固体:常温~500K |
可检测样品类型 |
固体/液体/薄膜/粉末 |
固体/液体/薄膜/粉末 |
固体/液体/薄膜/粉末 |
积分球附件 |
√ |
√ |
√ |
荧光偏振测试模块 |
/ |
√ |
/ |
荧光微区测试模块 |
/ |
√ 配备X10、X20、X50物镜 |
/ |
测试项目 |
激发与发射光谱 |
√ |
√ |
/ |
同步荧光光谱 |
√ |
√ |
/ |
三维荧光光谱 |
√ |
√ |
/ |
量子产率 |
√ |
√ |
√ |
荧光寿命 |
√ |
√ |
/ |
磷光/延迟荧光光谱 |
√ |
√ |
/ |
变温光谱 |
√ |
√ |
/ |
上转换荧光光谱 |
√ |
√ |
/ |
显微荧光光谱及寿命 |
/ |
√ |
/ |